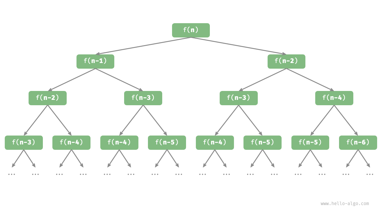
# 迭代與遞迴 在演算法中,重複執行某個任務是很常見的,它與複雜度分析息息相關。因此,在介紹時間複雜度和空間複雜度之前,我們先來了解如何在程式中實現重複執行任務,即兩種基本的程式控制結構:迭代、遞迴。 ## 迭代 迭代(iteration)是一種重複執行某個任務的控制結構。在迭代中,程式會在滿足一定的條件下重複執行某段程式碼,直到這個條件不再滿足。 ### for 迴圈 `for` 迴圈是最常見的迭代形式之一,**適合在預先知道迭代次數時使用**。 以下函式基於 `for` 迴圈實現了求和 $1 + 2 + \dots + n$ ,求和結果使用變數 `res` 記錄。需要注意的是,Python 中 `range(a, b)` 對應的區間是“左閉右開”的,對應的走訪範圍為 $a, a + 1, \dots, b-1$ : ```src [file]{iteration}-[class]{}-[func]{for_loop} ``` 下圖是該求和函式的流程框圖。 ![求和函式的流程框圖](iteration_and_recursion.assets/iteration.png) 此求和函式的操作數量與輸入資料大小 $n$ 成正比,或者說成“線性關係”。實際上,**時間複雜度描述的就是這個“線性關係”**。相關內容將會在下一節中詳細介紹。 ### while 迴圈 與 `for` 迴圈類似,`while` 迴圈也是一種實現迭代的方法。在 `while` 迴圈中,程式每輪都會先檢查條件,如果條件為真,則繼續執行,否則就結束迴圈。 下面我們用 `while` 迴圈來實現求和 $1 + 2 + \dots + n$ : ```src [file]{iteration}-[class]{}-[func]{while_loop} ``` **`while` 迴圈比 `for` 迴圈的自由度更高**。在 `while` 迴圈中,我們可以自由地設計條件變數的初始化和更新步驟。 例如在以下程式碼中,條件變數 $i$ 每輪進行兩次更新,這種情況就不太方便用 `for` 迴圈實現: ```src [file]{iteration}-[class]{}-[func]{while_loop_ii} ``` 總的來說,**`for` 迴圈的程式碼更加緊湊,`while` 迴圈更加靈活**,兩者都可以實現迭代結構。選擇使用哪一個應該根據特定問題的需求來決定。 ### 巢狀迴圈 我們可以在一個迴圈結構內巢狀另一個迴圈結構,下面以 `for` 迴圈為例: ```src [file]{iteration}-[class]{}-[func]{nested_for_loop} ``` 下圖是該巢狀迴圈的流程框圖。 ![巢狀迴圈的流程框圖](iteration_and_recursion.assets/nested_iteration.png) 在這種情況下,函式的操作數量與 $n^2$ 成正比,或者說演算法執行時間和輸入資料大小 $n$ 成“平方關係”。 我們可以繼續新增巢狀迴圈,每一次巢狀都是一次“升維”,將會使時間複雜度提高至“立方關係”“四次方關係”,以此類推。 ## 遞迴 遞迴(recursion)是一種演算法策略,透過函式呼叫自身來解決問題。它主要包含兩個階段。 1. **遞**:程式不斷深入地呼叫自身,通常傳入更小或更簡化的參數,直到達到“終止條件”。 2. **迴**:觸發“終止條件”後,程式從最深層的遞迴函式開始逐層返回,匯聚每一層的結果。 而從實現的角度看,遞迴程式碼主要包含三個要素。 1. **終止條件**:用於決定什麼時候由“遞”轉“迴”。 2. **遞迴呼叫**:對應“遞”,函式呼叫自身,通常輸入更小或更簡化的參數。 3. **返回結果**:對應“迴”,將當前遞迴層級的結果返回至上一層。 觀察以下程式碼,我們只需呼叫函式 `recur(n)` ,就可以完成 $1 + 2 + \dots + n$ 的計算: ```src [file]{recursion}-[class]{}-[func]{recur} ``` 下圖展示了該函式的遞迴過程。 ![求和函式的遞迴過程](iteration_and_recursion.assets/recursion_sum.png) 雖然從計算角度看,迭代與遞迴可以得到相同的結果,**但它們代表了兩種完全不同的思考和解決問題的範式**。 - **迭代**:“自下而上”地解決問題。從最基礎的步驟開始,然後不斷重複或累加這些步驟,直到任務完成。 - **遞迴**:“自上而下”地解決問題。將原問題分解為更小的子問題,這些子問題和原問題具有相同的形式。接下來將子問題繼續分解為更小的子問題,直到基本情況時停止(基本情況的解是已知的)。 以上述求和函式為例,設問題 $f(n) = 1 + 2 + \dots + n$ 。 - **迭代**:在迴圈中模擬求和過程,從 $1$ 走訪到 $n$ ,每輪執行求和操作,即可求得 $f(n)$ 。 - **遞迴**:將問題分解為子問題 $f(n) = n + f(n-1)$ ,不斷(遞迴地)分解下去,直至基本情況 $f(1) = 1$ 時終止。 ### 呼叫堆疊 遞迴函式每次呼叫自身時,系統都會為新開啟的函式分配記憶體,以儲存區域性變數、呼叫位址和其他資訊等。這將導致兩方面的結果。 - 函式的上下文資料都儲存在稱為“堆疊幀空間”的記憶體區域中,直至函式返回後才會被釋放。因此,**遞迴通常比迭代更加耗費記憶體空間**。 - 遞迴呼叫函式會產生額外的開銷。**因此遞迴通常比迴圈的時間效率更低**。 如下圖所示,在觸發終止條件前,同時存在 $n$ 個未返回的遞迴函式,**遞迴深度為 $n$** 。 ![遞迴呼叫深度](iteration_and_recursion.assets/recursion_sum_depth.png) 在實際中,程式語言允許的遞迴深度通常是有限的,過深的遞迴可能導致堆疊溢位錯誤。 ### 尾遞迴 有趣的是,**如果函式在返回前的最後一步才進行遞迴呼叫**,則該函式可以被編譯器或直譯器最佳化,使其在空間效率上與迭代相當。這種情況被稱為尾遞迴(tail recursion)。 - **普通遞迴**:當函式返回到上一層級的函式後,需要繼續執行程式碼,因此系統需要儲存上一層呼叫的上下文。 - **尾遞迴**:遞迴呼叫是函式返回前的最後一個操作,這意味著函式返回到上一層級後,無須繼續執行其他操作,因此系統無須儲存上一層函式的上下文。 以計算 $1 + 2 + \dots + n$ 為例,我們可以將結果變數 `res` 設為函式參數,從而實現尾遞迴: ```src [file]{recursion}-[class]{}-[func]{tail_recur} ``` 尾遞迴的執行過程如下圖所示。對比普通遞迴和尾遞迴,兩者的求和操作的執行點是不同的。 - **普通遞迴**:求和操作是在“迴”的過程中執行的,每層返回後都要再執行一次求和操作。 - **尾遞迴**:求和操作是在“遞”的過程中執行的,“迴”的過程只需層層返回。 ![尾遞迴過程](iteration_and_recursion.assets/tail_recursion_sum.png) !!! tip 請注意,許多編譯器或直譯器並不支持尾遞迴最佳化。例如,Python 預設不支持尾遞迴最佳化,因此即使函式是尾遞迴形式,仍然可能會遇到堆疊溢位問題。 ### 遞迴樹 當處理與“分治”相關的演算法問題時,遞迴往往比迭代的思路更加直觀、程式碼更加易讀。以“費波那契數列”為例。 !!! question 給定一個費波那契數列 $0, 1, 1, 2, 3, 5, 8, 13, \dots$ ,求該數列的第 $n$ 個數字。 設費波那契數列的第 $n$ 個數字為 $f(n)$ ,易得兩個結論。 - 數列的前兩個數字為 $f(1) = 0$ 和 $f(2) = 1$ 。 - 數列中的每個數字是前兩個數字的和,即 $f(n) = f(n - 1) + f(n - 2)$ 。 按照遞推關係進行遞迴呼叫,將前兩個數字作為終止條件,便可寫出遞迴程式碼。呼叫 `fib(n)` 即可得到費波那契數列的第 $n$ 個數字: ```src [file]{recursion}-[class]{}-[func]{fib} ``` 觀察以上程式碼,我們在函式內遞迴呼叫了兩個函式,**這意味著從一個呼叫產生了兩個呼叫分支**。如下圖所示,這樣不斷遞迴呼叫下去,最終將產生一棵層數為 $n$ 的遞迴樹(recursion tree)。 ![費波那契數列的遞迴樹](iteration_and_recursion.assets/recursion_tree.png) 從本質上看,遞迴體現了“將問題分解為更小子問題”的思維範式,這種分治策略至關重要。 - 從演算法角度看,搜尋、排序、回溯、分治、動態規劃等許多重要演算法策略直接或間接地應用了這種思維方式。 - 從資料結構角度看,遞迴天然適合處理鏈結串列、樹和圖的相關問題,因為它們非常適合用分治思想進行分析。 ## 兩者對比 總結以上內容,如下表所示,迭代和遞迴在實現、效能和適用性上有所不同。

  迭代與遞迴特點對比

| | 迭代 | 遞迴 | | -------- | -------------------------------------- | ------------------------------------------------------------ | | 實現方式 | 迴圈結構 | 函式呼叫自身 | | 時間效率 | 效率通常較高,無函式呼叫開銷 | 每次函式呼叫都會產生開銷 | | 記憶體使用 | 通常使用固定大小的記憶體空間 | 累積函式呼叫可能使用大量的堆疊幀空間 | | 適用問題 | 適用於簡單迴圈任務,程式碼直觀、可讀性好 | 適用於子問題分解,如樹、圖、分治、回溯等,程式碼結構簡潔、清晰 | !!! tip 如果感覺以下內容理解困難,可以在讀完“堆疊”章節後再來複習。 那麼,迭代和遞迴具有什麼內在關聯呢?以上述遞迴函式為例,求和操作在遞迴的“迴”階段進行。這意味著最初被呼叫的函式實際上是最後完成其求和操作的,**這種工作機制與堆疊的“先入後出”原則異曲同工**。 事實上,“呼叫堆疊”和“堆疊幀空間”這類遞迴術語已經暗示了遞迴與堆疊之間的密切關係。 1. **遞**:當函式被呼叫時,系統會在“呼叫堆疊”上為該函式分配新的堆疊幀,用於儲存函式的區域性變數、參數、返回位址等資料。 2. **迴**:當函式完成執行並返回時,對應的堆疊幀會被從“呼叫堆疊”上移除,恢復之前函式的執行環境。 因此,**我們可以使用一個顯式的堆疊來模擬呼叫堆疊的行為**,從而將遞迴轉化為迭代形式: ```src [file]{recursion}-[class]{}-[func]{for_loop_recur} ``` 觀察以上程式碼,當遞迴轉化為迭代後,程式碼變得更加複雜了。儘管迭代和遞迴在很多情況下可以互相轉化,但不一定值得這樣做,有以下兩點原因。 - 轉化後的程式碼可能更加難以理解,可讀性更差。 - 對於某些複雜問題,模擬系統呼叫堆疊的行為可能非常困難。 總之,**選擇迭代還是遞迴取決於特定問題的性質**。在程式設計實踐中,權衡兩者的優劣並根據情境選擇合適的方法至關重要。